近期,食品与生物工程学院张东副教授在《International Journal of Food Microbiology》(国际食品微生物学杂志1区,IF=5.2)发表题为“New insights into the characteristic flavor formation of Sichuan fermented sausages driven by liquid smoke addition: An integrated study based on microbiomics, flavoromics, and untargeted metabolomics”的研究性论文。食品与生物工程学院张东副教授为第一作者,唐洁教授为通讯作者。

川式香肠的制作通常包括腌制、灌制、发酵和熏制等环节,其中熏制过程能赋予香肠特有的色泽、独特风味以及一定的防腐效果。然而,传统熏制方法存在工艺控制困难、可能产生有害物质及环境污染等问题。随着消费者对更高安全性和品质的食品需求日益增强,兼具传统烟熏风味且能避免有害物质生成的烟熏液应用日趋广泛。但目前关于烟熏液的添加是否会影响川式发酵香肠中微生物群落的演替、挥发性风味化合物的形成以及特征代谢产物的积累,尚缺乏系统研究。
西华大学食品与生物工程学院依托“食品微生物四川省重点实验室”与“川渝共建特色食品重庆市重点实验室”,系统研究了添加烟熏液对接种发酵川式香肠中微生物群落演替、挥发性风味化合物及特征代谢产物形成的影响。该研究不仅为利用烟熏液提升川式发酵香肠的品质特性提供了科学依据,也为生产具有独特风味的传统发酵肉制品提供了方法参考。
研究亮点
(1)添加烟熏液对川式香肠微生物群落结构有一定影响。
(2)烟熏液可影响优势微生物的相对丰度。
(3)添加烟熏液引入了独特的风味化合物。
(4)添加适量烟熏液不会显著改变川式香肠的感官品质。
研究结论
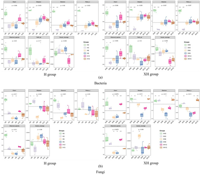
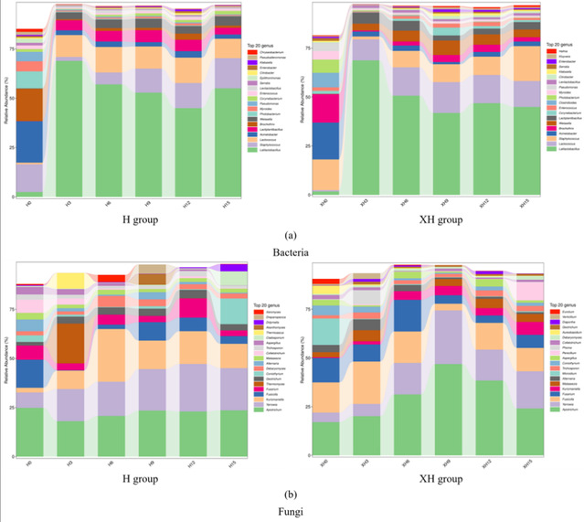
(1)添加烟熏液在一定程度上改变了接种发酵川式香肠中优势细菌(如Latilactobacillus、Staphylococcus和Lactococcus)和优势真菌(如Apiotrichum和Yarrowia)的相对丰度。
(2)延长发酵时间显著增加了接种发酵川式香肠中某些风味化合物的含量,添加烟熏液可通过调节微生物群落结构及相关代谢途径调控风味化合物的形成。
(3)添加0.08%的烟熏液虽在一定程度上改变了接种发酵川式香肠中微生物群落结构和一些风味化合物相对含量,但不会显著影响接种发酵川式香肠的感官得分,还可引入具有烟熏风味的化合物。
图文赏析

H组与XH组川式香肠发酵过程中细菌(a)和真菌(b)的α多样性指数

H组与XH组川式香肠发酵过程中细菌(a)和真菌(b)在属水平的物种组成柱状图

H组与XH组川式香肠发酵过程中细菌(a)和真菌(b)在属水平的物种组成热图
H组与XH组川式发酵香肠中基于细菌(a)和真菌(b)预测的MetaCyc二级功能通路丰度图

H组和XH组川式香肠发酵过程中细菌贡献的差异性MetaCyc代谢通路物种组成图
第一作者简介:

张东,西华大学食品与生物工程学院副教授,硕士生导师,四川省“天府峨眉计划”青年人才,四川省“天府峨眉计划”创新创业团队核心成员(2/5)。担任四川省营养学会理事会理事,四川省科技厅项目评审专家,Journal of Future等期刊青年编委,Food Chemistry等10余本高水平国际期刊特邀审稿人。主持及参与四川省自然科学基金等项目20余项,其中主持省部级,企、事业单位委托等科研项目10余项,主持教育部产学合作协同育人项目1项。共发表论文30余篇,以第一/通讯作者在Journal of Agricultural and Food Chemistry、Food Chemistry、Food Research International等期刊发表论文20余篇。相关研究工作获“四川省科技进步二等奖”1项,“四川省食品工业科学技术科技进步一等奖”1项。

川公网安备 51010602000503号